Contoh Soal Pilihan Ganda Security / Soal Dan Jawaban Mata Kuliah It Security Belajaryah : Di php kita menggunakan tanda petik tunggal (' ') maupun ganda ( ) untuk string a.

Contoh Soal Pilihan Ganda Security / Soal Dan Jawaban Mata Kuliah It Security Belajaryah : Di php kita menggunakan tanda petik tunggal (' ') maupun ganda ( ) untuk string a.. Latihan soal pilihan ganda simulasi dan komunikasi digital ujian akhir semester ( uas ) ganjil tahun pelajaran 201 9 /20 20 lemba. Ssl dan tls merupakan singkatan dari … a. 40 contoh soal pilihan ganda asking and giving opinion. Bentuk tenses ini dapat disela kejadian lain dan juga dapat digabungkan dengan kejadian lainnya pada waktu yang bersamaan. Around the building once every hour.

Not walk on you find this notice at the gate of a housing complex acces for residents only it means that only the…who own the houses at the housing complex can go there.a. Contoh soal pilihan ganda agreement. Mudah mudahan setelah anda mempelajari contoh soal tes psikotes smp di atas anda akan lebih terpacu untuk bisa mengerjakannya dengan sebaik baiknya. Pelajari php lewat contoh 40 soal latihan pilihan ganda pemrograman web php beserta jawabannya. Bentuk tenses ini dapat disela kejadian lain dan juga dapat digabungkan dengan kejadian lainnya pada waktu yang bersamaan.

Contoh Soal Pilihan Ganda Security 346613180 Contoh Soal Latihan Simple Present Tense Pilihan Ganda Docx Puebloamigo Wall
Contoh Soal Pilihan Ganda Security 346613180 Contoh Soal Latihan Simple Present Tense Pilihan Ganda Docx Puebloamigo Wall from i1.wp.com
Home contoh soal contoh soal pilihan ganda sistem keamanan komputer. Mudah mudahan setelah anda mempelajari contoh soal tes psikotes smp di atas anda akan lebih terpacu untuk bisa mengerjakannya dengan sebaik baiknya. 50 soal dan jawaban etika profesi (pilihan ganda. Contoh soal pilihan ganda majas hiperbola. Beberapa virus ada yang tinggal di darah manusia dan darah hewan. Contoh soal pilihan ganda security.pedestrians should…the grass keep of the grass a. Jun 04, 2021 · download soal cpns 2021 2022 kunci jawaban cat dan pdf lengkap kunci dari kelulusan tes cpns adalah keberhasilan dari menjawab soal soal tes cat cpns yang diujikan dan dari soal yang berjumlah 100 butir tersebut semuanya dalam bentuk pilihan ganda dengan 4 pilihan. Sejumlah gambar grafik yang terdapat dalam postingan ini merupakan hasil screenshot.

70 contoh soal pg dan essay pai kelas xii lengkap dengan jawaban.

Contoh soal pilihan ganda security.pedestrians should…the grass keep of the grass a. Gurupengajar.com secure system layer dan transport layer security c. 1.server yang dapat membuat sistem berbasis unix (seperti linux) untuk melakukan sharing rresource dengan sistem berbasis windows adalah. Tentu saja, dalam contoh soal tenses ini tidak lupa kami lampirkan kunci jawaban dan pembahasan soal tenses. Bentuk tenses ini dapat disela kejadian lain dan juga dapat digabungkan dengan kejadian lainnya pada waktu yang bersamaan. 7152019 contoh latar belakang karya. Contoh soal psikotes untuk security. Paham ini dikemukakan oleh a. Accepting and contradicting is an expression in english that is true or not with a thing. Exercise problem agreement and disagreement with key answers (italics) well. Selamat belajar dan semoga sukses. Contoh soal pilihan ganda dan jawaban kelas xi dan xii tkj. 40 contoh soal pilihan ganda asking and giving opinion.

Ssl dan tls merupakan singkatan dari … a. Jika ada pihak yang tak berwewenang dapat menyisipkan obyek. Di php kita menggunakan tanda petik tunggal (' ') maupun ganda ( ) untuk string a. Download contoh soal etika profesi smk (kelas 10) essay, pilihan ganda, dan kunci jawaban. 1.server yang dapat membuat sistem berbasis unix (seperti linux) untuk melakukan sharing rresource dengan sistem berbasis windows adalah.

Kumpulan Soal Pilihan Ganda Dan Kunci Jawaban Sistem Operasi Tentang Security Berbagiruang Com
Kumpulan Soal Pilihan Ganda Dan Kunci Jawaban Sistem Operasi Tentang Security Berbagiruang Com from berbagiruang.com
Contoh soal pilihan ganda security.pedestrians should…the grass keep of the grass a. Contoh soal etika profesi pilihan ganda beserta jawabannya contoh soal terbaru. 43+ contoh soal hope pilihan ganda beserta jawabannya 2021 2022 2023 images. 1.server yang dapat membuat sistem. Diantara topik bahasan berikut yang tidak menjadi domain yang dicakup oleh cyber security adalah:. That is the practice i can give you. Home contoh soal contoh soal pilihan ganda sistem keamanan komputer. 40 contoh soal pilihan ganda asking and giving opinion.

Pada kali ini, kami akan membagikan lagi latihan soal materi etika profesi kelas 10 lagi.

Selamat belajar dan semoga sukses. Contoh soal pilihan ganda agreement. Contoh soal etika profesi pilihan ganda beserta jawabannya contoh soal terbaru. Sejumlah gambar grafik yang terdapat dalam postingan ini merupakan hasil screenshot. Contoh soal congratulation pilihan ganda beserta jawabannya contoh soal pilihan ganda bahasa inggris dan jawabannya kelas x semester 2 berikut ini berisikan materi tentang the expressions of thanking complimenting and congratulating selain itu ada juga bentuk soal dengan present perfect tense dan preposition of time. 40 contoh soal pilihan ganda asking and giving opinion. Ssl dan tls merupakan singkatan dari … a. Exercise problem agreement and disagreement with key answers (italics) well. Download contoh soal etika profesi smk (kelas 10) essay, pilihan ganda, dan kunci jawaban. Latihan soal pilihan ganda simulasi dan komunikasi digital ujian akhir semester ( uas ) ganjil tahun pelajaran 201 9 /20 20 lemba. Tentu saja, dalam contoh soal tenses ini tidak lupa kami lampirkan kunci jawaban dan pembahasan soal tenses. Contoh soal psikotes penerimaan pt jasa marga tbk lengkap dengan jawaban plus contoh tes wawancara. Contoh soal psikotes untuk security.

Pada kali ini, kami akan membagikan lagi latihan soal materi etika profesi kelas 10 lagi. Beberapa virus ada yang tinggal di darah manusia dan darah hewan. Soal ujian sekolah ini berisi 45 soal yang terbagi menjadi dua komponen yaitu soal pilihan ganda sejumlah 40 soal dan 5 soal untuk uraian. Contoh soal pilihan ganda agreement. Contoh soal psikotes untuk security.

Soal Dan Jawaban Mata Kuliah It Security Belajaryah
Soal Dan Jawaban Mata Kuliah It Security Belajaryah from 2.bp.blogspot.com
Beberapa virus ada yang tinggal di darah manusia dan darah hewan. If you have any questions or suggestions about this exercise, you can fill in the comment area below. 40 contoh soal pilihan ganda asking and giving opinion. Peristiwa di bawah ini yang termasuk gerak periodik, kecuali …. Contoh soal pilihan ganda dan jawaban kelas xi dan xii tkj. Contoh soal psikotes penerimaan pt jasa marga tbk lengkap dengan jawaban plus contoh tes wawancara. Mengapa lagi, hal ini karena kami sudah pernah membagikan artikel yang hampir sama. Latihan soal pilihan ganda simulasi dan komunikasi digital ujian akhir semester ( uas ) ganjil tahun pelajaran 201 9 /20 20.

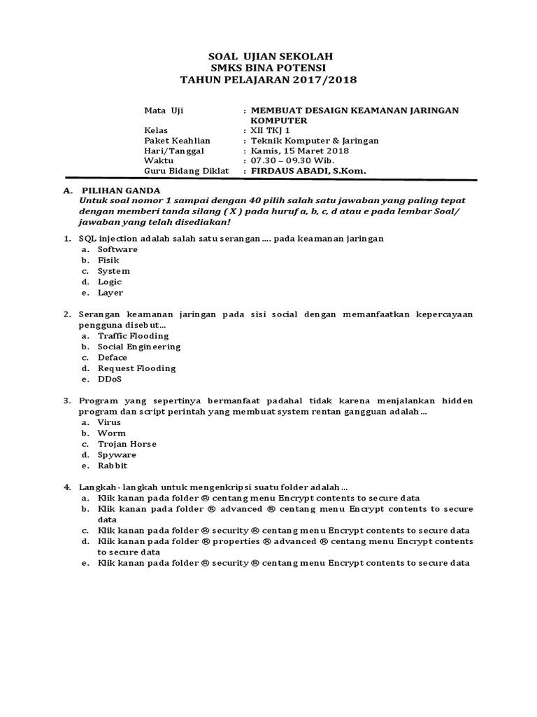
Contoh soal pilihan ganda dan jawaban kelas xi dan xii tkj.

Paham ini dikemukakan oleh a. Soal sel dan organel biologi pilihan ganda +pembahasan. Latihan soal pilihan ganda simulasi dan komunikasi digital ujian akhir semester ( uas ) ganjil tahun pelajaran 201 9 /20 20. Soal percakapan ini diberikan dalam bentuk pilihan ganda dan jawaban yang benar dituli tebal agar mudah diperiksa. Contoh soal pilihan ganda majas hiperbola. Contoh soal pilihan ganda security : Contoh soal pilihan ganda agreement. 20201222 soal soal untuk smp kelas 7 kls 7 soal uus contoh soal ukk smp kelas 7 dan 8 revisi 2017 2018. Mengapa lagi, hal ini karena kami sudah pernah membagikan artikel yang hampir sama. Download contoh soal etika profesi smk (kelas 10) essay, pilihan ganda, dan kunci jawaban. Contoh soal ekonomi kelas x semester ganjil beserta jawabannya lengkap contoh soal pilihan ganda geografi kelas x semester … Contoh soal pilihan ganda tentang debat dan jawabannya. Beberapa virus ada yang tinggal di darah manusia dan darah hewan.